1 选择合适的电机参数
在CW32电机驱动控制开发中,为应用选择正确的电机类型很重要。必须根据负载特性选择参数正确的电机。为给定应用选择电机要考虑的三个参数是:应用所需的峰值转矩、RMS转矩和工作转速范围。
峰值转矩(TP)
该应用所需要峰值(或者说最大值)转矩可以通过将负载转矩(TL)、惯性转矩(TJ)和克服摩擦所需的转矩(TF)相加得到。
还有一些因素会对峰值转矩的总体要求有影响。例如,气隙中的空气电阻造成的电阻损失。考虑因素的具体影响是很复杂的。经验告诉我们,计算转矩时要留出20%的安全裕度。所以有以下公式:

惯性转矩(TJ)是将负载从静止加速,或者从低速加速到高速所需的转矩。这可以通过将包括转矩惯量在内的负载惯量和负载加速度相乘而算出。如式(2)所示。
其中,JL+M是负载与转子惯量之和,α是所需加速度。
连接到电机轴上的机械系统决定了负载转矩和摩擦转矩。
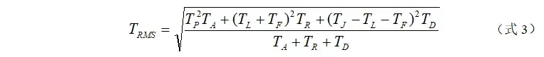
RMS转矩要求(TRMS)
均方根(Root Mean Square,RMS)转矩可粗略地理解为该应用所需的平均连续转矩。这取决于许多因素。峰值转矩(TP)、负载转矩(TL)、惯性转矩(TJ),摩擦转矩(TF)和加速、减速及起动次数。
式3给出了典型应用所需要RMS转矩的计算,其中TA是加速时间,TR是起动时间,而TD是减速时间。

转速范围
这里讲的转速指的是驱动应用所需的电机转速,由应用的类型决定。例如,像吹风机之类的应用,转速变化不太频繁,吹风机的最高转速可以是所需电机转速的平均值。但是在点对点定位系统(例如高精度传送带运动和机械臂运动)中,就要求电机的额定转速高于平均移动速度。较高的工作转速是梯形转速曲线的组成部分,使得电机的平均转速等于系统的移动速度。梯形曲线如图1所示。考虑到没有计算在内的各种因素,凭经验建议留有10%的安全裕度。
2 典型的BLDC电机应用
CW32MCU的相关BLDC电机控制,可以应用于市场中的各个领域。汽车、家电、工业控制、自动化、航空等等都可以使用BLDC电机。从中,可以把BLDC电机控制的类型分为三个主要类别:恒定负载、变化负载和定位应用。
恒定负载应用中,转速的变化比保持设定转速的精度更重要。此外,加速度和减速度不会动态变化。在这类应用中,负载直接连接到电机轴。例如风扇,泵和吹风机即可归于这类应用。这类应用需要低成本控制器,多数运行在开环状态,像CW32L010这种高性价比芯片,对此类多数应用需求均可胜任。
变化负载应用中,当电机转速在一定范围内时,负载会发生变化。这类应用可能需要高速控制精度和良好的动态响应。家用电器中的洗衣机、干衣机和压缩机就是很好的例子。在汽车应用中,燃料泵控制、电子转向控制、引擎控制和电动车辆控制是很好的例子。它在航空航天业也有用武之地,如离心机、泵、机械臂控制、陀螺仪控制等等。这些应用可能使用转速反馈设备,并运行在半闭环和全闭环状态。这些应用使用高级控制算法,从而增加了控制器的复杂性。同时也提高了整个系统的造价,而CW32F030CW32A030(车规级别)CW32L011CW32L012在面对此类控制的稳定性和性能需求可以很好满足。
多数工业和自动化应用都可以归于定位应用类。此类应用具有某种传动机制,可能是机械齿轮或定时传送带,也可能是简单的传送带驱动系统。在这些应用中,转速和转矩的动态响应很重要。同时,这些应用可能需要频繁切换转向。典型的转向切换过程包括一个加速阶段、匀速阶段和减速阶段,如图1所示。电机上的负载在所有这些阶段都可能变化,因而需要复杂的控制器。这些系统多数运行在闭环状态。可能有三个控制环在同时工作:转矩控制环、转速控制环和位置控制环。用光电式编码器或同步解算器测量电机的实际转速。某些情况下,也可用这些传感器获取相对位置信息,或者用独立的位置传感器获取绝对位置。计算机数控机床就是很好的例子。此类应用大量用于过程控制、机械控制和传送装置控制中。而武汉芯源半导体的最新产品CW32L012系列,有着更丰富强大的外设配置,在面对此类应用时,可以提供更好的开发选择。
总的来说,BLDC电机和有刷直流电机及感应电机相比是具有优势的。它们具有更好的转速与转矩特性、较高的动态响应和效率、较长的使用寿命、无噪音运转、较高的转速范围,以及可靠而坚固的构造等等。同时,由于输出转矩与电机体积之比更高,使之在需要着重考虑空间与重量因素的应用中,大有用武之地。
有了这些优势,CW32MCU和BLDC电机在汽车、家用电器、航空航天、消费品、医疗、仪器和自动化行业中有着广泛应用前景。成为市场上的诸多热门产品的不二之选。








